Kapasitor adalah sesuatu yang merujuk kepada sebuah benda yang dapat menyimpan muatan listrik, berikut ini akan disajikan Contoh Soal dan jawaban Pembahasan Kapasitor. Mudah-mudahan saja Contoh Soal dan jawaban Pembahasan Kapasitor ini bermanfaat banyak.
Soal No. 1) Suatu kapasitor keping sejajar memiliki luas tiap keping 2.000 cm2 dan terpisah sejauh 1 cm. Bila diisi udara, beda potensial kepingnya 3.000 volt. Bila diisi suatu bahan dielektrik, beda potensialnya menjadi 1.000 volt. Tentukan konstanta dielektrik bahan tersebut!
Pembahasan:
Diketahui:
A = 2.000 cm2
V1= 3.000 volt
V2= 1.000 volt
Ditanya: K2=…?
Jawaban:
Untuk mencari konstanta dielektriknya, gunakan perbandingan berikut.

Jadi, konstanta dielektriknya adalah 3.
Soal No. 2) Lima buah kapasitor memiliki kapasitas yang sama, yaitu 3 μF. Jika kelimanya disusun secara paralel lalu dihubungkan dengan beda potensial 4 volt, berapakah besarnya muatan listrik yang tersimpan di dalamnya?
Jawaban:
Diketahui:
C1= C2 = C3 = C4 = C5 = 3 Μf
V = 4 volt
Ditanya: Q =…?
Penyelesaian:
Ingat, pada soal di atas tertulis bahwa kapasitor disusun secara paralel. Artinya, kamu harus mencari susunan penggantinya dahulu. Secara matematis, dirumuskan sebagai berikut.

Jadi, besar muatannya adalah 60 μF.
Soal No. 3) Terdapat sebuah Kapasitor dengan mempunyai besaran kapasitas sebesar 0.8 μF yang dimuati oleh sebuah Baterai berkapasitas 20 Volt. Maka berapakah Muatan yg tersimpan didalam Kapasitor tersebut ?
Diketahui :
C = 0.8 μF sama dengan 8 x 10-7 F
V = 20 Volt (V)
Ditanya :
Berapakah nilah Q ?
Jawaban:
C = Q / V sehingga Q = C x V
Q = 8 x 10-7 x 20
Q = 1.6 x 10-5 coulomb
Soal No. 4) Terdapat sebuah Kapasitor Keping Sejajar dengan mempunyai Luas tiap kepingnya sebesar 2000 cm2 dan terpisah sejauh 2 centimeter antara satu dengan lain. Berapakah nilai dari Kapasitas Kapasitor tersebut ?
Jawaban :
C = 8,85.10-12 . (0,2./0,002)
C = 8,85.10-12 x 100
C = 8,85.10-10 farad
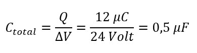
Soal No. 5) Sebuah baterai memiliki tegangan 24 Volt, kemudian baterai ini dihubungkan secara seri dengan 3 kapasitor identik (memiliki besar yang sama). Jika muatan total pada rangkaian ini adalah 12 µC. Tentukan besar dari masing-masing kapasitor?

Jawaban:
Diketahui:
Vs = 24 Volt
C1 = C2 = C3 = C (Kapasitor identik)
Qt = 12 µC (Muatan Total)
Ditanya : C = ….?
Langkah 1 : Menentukan besar kapasitor total rangkaian

