selamat berjumpa kembali kawan-kawan, di bawah ini akan disajikan Soal Jawaban dan Pembahasan Elektromagnetik. Semoga saja Soal Jawaban dan Pembahasan Elektromagnetik ini memberikan manfaat yang banyak.
Soal No. 1) Jika semua partikel pada awalnya masuk dari sebelah kiri menuju ke kanan dengan laju yang sama, maka yang paling mungkin menunjukan jejak elektron adalah ….
a. lintasan A
b. lintasan B
c. lintasan C
d. lintasan D
e. lintasan E
Jawaban : E
Pembahasan:
Kaidah tangan kanan terbuka :
– Ibu jari ke kiri (kebalikan arah gerak elektron) i
– Jari-jari masuk bidang gambar (arah medan magnet) B
– Telapak tangan ke bawah (arah gaya pada elektron) F
Soal No. 2) Sebuah kawat lurus panjang dialiri arus listrik sebesar
. Jika permeabilitas vakum sebesar
.Besarnya induksi magnet pada sebuah titik yang jaraknya
dari pusat kawat tersebut adalah…

a. ![]()
b. ![]()
c. ![]()
d. ![]()
e. ![]()
Pembahasan:
- Berdasarkan rumus kuat medan magnet

- Arus listrik sebesar

- Jarak titik sebesar

- Maka

Jadi jawabannya adalah D
Soal No. 3) Sebuah kumparan memiliki jumlah lilitan 1000 mengalami perubahan fluks magnetik dari 3 x 10−5Wb menjadi 5 x 10− 5Wb dalam selang waktu 10 ms. Tentukan ggl induksi yang timbul!
Jawaban:
Data dari soal :
Jumlah lilitan N = 1000
Selang waktu Δ t = 10 ms = 10 x 10−3 sekon
Selisih fluks Δ φ = 5 x 10− 5− 3 x 10− 5 = 2 x 10− 5 Wb

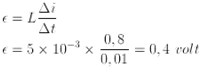
Soal No. 4) Sebuah kumparan dengan induktansi 5 mH mengalami perubahan kuat arus yang mengalir dari 0,2 A menjadi 1,0 A dalam waktu 0,01 sekon. Tentukan besarnya tegangan yang timbul akibat peristiwa tersebut!
Jawaban:
Data dari soal :
Induktansi kumparan L = 5 mH = 5 x 10−3 H
Perubahan arus Δ i = 1,0 − 0,2 = 0,8 A
Selang waktu Δ t = 0,01 sekon

Soal No. 5) Sebuah kumparan diletakkan pada medan magnetik homogen. Dalam waktu 30 detik terjadi perubahan fluks sehingga GGL menjadi ε1. Jika dalam waktu 20 sekon terjadi perubahan fluks yang sama sehingga GGL yang dihasilkan adalah ε2, maka perbandingan ε1 dan ε2 adalah ….
-
A. 1:2
B. 1:3
C. 2:3
D. 2:5
E. 3:4<
Jawaban: C
GGL pada kumparan dapat ditentukan dengan persamaan / rumus Hukum faraday sebagai berikut.
Ɛ = – N [ΔΦ/Δt]
Berdasarkan persamaan di atas, GGL berbanding terbalik dengan perubahan waktu sehingga perbandingan antara ε1 dan ε2 dapat ditentukan melalui perhitungan sebagai berikut:
Jadi, perbandingan antara ε1 dan ε2 adalah 2:3