Hai kawan-kawan, berikut ini akan disajikan Contoh Soal Essay dan Jawaban Fisika Medan Magnet. Mudah-mudahan Contoh Soal Essay dan Jawaban Fisika Medan Magnet ini memberikan manfaat yang banyak.
Soal No. 1). Kawat A dan B terpisah sejauh 1 m dan dialiri arus listrik berturut-turut 1 A dan 2 A dengan arah seperti ditunjukkan gambar di bawah.

Tentukan letak titik C dimana kuat medan magnetnya adalah NOL!
Jawaban:
Agar kuat medan nol, kuat medan yang dihasilkan kawat A dan kawat B harus berlawanan arah dan sama besar. Posisi yang mungkin adalah di sebelah kiri kawat A atau di sebelah kanan kawat B. Mana yang harus di ambil, ambil titik yang lebih dekat ke kuat arus lebih kecil. Sehingga posisinya adalah disebelah kiri kawat A namakan saja jaraknya sebagai x.

Soal No. 2). Tiga buah kawat dengan nilai dan arah arus seperti ditunjukkan gambar berikut!

Tentukan besar dan arah kuat medan magnet di titik P yang berjarak 1 meter dari kawat ketiga!
Jawaban:
Pada titik P terdapat tiga medan magnet dari kawat I (masuk bidang), kawat II (keluar bidang) dan kawat III (masuk bidang).

Arah masuk bidang baca.
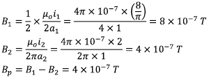
Soal No. 3). Perhatikan gambar berikut. Kawat A dan B dialiri arus listrik I1 dan I2 masing-masing sebesar 2 A dan 3 A dengan arah keluar bidang baca.

Tentukan besar dan arah kuat medan magnet di titik C yang membentuk segitiga sama sisi dengan titik A dan B!
Jawaban:
Mencari B1 dan B2

Kuat medan total di titik C gunakan rumus vektor dan 10−7 misalkan sebagai x.

Arah medan magnet :

Soal No. Seutas kawat dialiri arus listrik i = 2 A seperti gambar berikut !

Tentukan :
a) Kuat medan magnet di titik P
b) Arah medan magnet di titik P
c) Kuat medan magnet di titik Q
d) Arah medan magnet di titik Q
Pembahasan
a) Kuat medan magnet (B) dari suatu titik yang berjarak a dari suatu kawat lurus panjang yang dialiri kuat arus i adalah :
![]()
Kuat medan magnet di titik P :
![]()
b) Arah ditentukan dengan kaidah tangan kanan, dimana ibu jari mewakili arah arus dan empat jari sebagai arah medan magnet dengan posisi tangan menggenggam kawat. Sehingga arah kuat medan magnet di titik P adalah keluar bidang baca (mendekati pembaca).
c) Kuat medan magnet di titik Q :
![]()
d) Arah medan masuk bidang baca (menjauhi pembaca)
Soal No. 4). Perhatikan gambar berikut ini!

Tentukan besar dan arah kuat medan magnet di titik P !
Jawaban:
Arus A akan menghasilkan medan magnet di titik P dengan arah masuk bidang, sementara arus B menghasilkan medan magnet dengan arah keluar bidang .

Arah sesuai Ba yaitu masuk bidang.
Soal No. 5). Titik P berada di sekitar dua buah penghantar berbentuk setengah lingkaran dan kawat lurus panjang seperti gambar berikut!

Tentukan besar kuat medan magnet di titik P!
Jawaban:
Kuat medan dari kawat setengah lingkaran arah masuk bidang baca namakan B1 dan kuat medan magnet dari kawat lurus namakan B2 arah keluar bidang baca :

Arah sesuai arah B1 masuk bidang baca. (Thanks to Destia,..)
Soal No. 6). Tentukan besar kuat medan magnet di titik P yang berada pada poros suatu penghantar melingkar pada jarak 8 cm jika kuat arus yang mengalir pada kawat adalah 1 A!

Jawaban:

Soal No. 7). Perhatikan gambar :

l = kawat panjang
A = bidang datar tegak lurus I
N = Titik berada pada bidang A berjarak 1 cm dari i
Kawat I dialiri arus i = 50 ampere i ke atas. Besar induksi magnetik di B adalah ….
Jawaban
Kuat medan magnetik di sekitar kawat lurus berarus

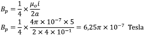
Soal No. 8). Kawat seperempat lingkaran dialiri arus 5 A seperti gambar berikut.

Jika jari-jari kawat melingkar adalah 40 cm, tentukan kuat medan magnet di titik P!
Jawaban:
Kuat medan magnet oleh kawat seperempat lingkaran di titik P

Sehingga

Soal No. 9). Suatu solenoid panjang 2 meter dengan 800 lilitan dan jari-jari 2 cm. Bila solenoid itu dialiri arus sebesar 0,5 A, tentukanlah induksi magnet pada ujung solenoid. (µo = 4π .10–7 Wb.A–1.m–1 ).
Jawaban
Kuat medan magnet dari solenoida, lokasi di ujung solenoid
