Hai kawan-kawan, berikut ini akan disajikan 5 Soal Essay Fisika Kinematika Kerja dan Jawaban. Mudah-mudahan 5 Soal Essay Fisika Kinematika Kerja dan Jawaban ini bermanfaat banyak.
Soal No. 1). Sebuah partikel bergerak dari atas tanah dengan persamaan posisi Y = (−3t2 + 12t + 6 ) meter. Tentukan :
a) Posisi awal partikel
b) Posisi partikel saat t = 1 sekon
c) Kecepatan awal partikel
d) Percepatan partikel
e) Waktu yang diperlukan partikel untuk mencapai titik tertinggi
f) Lama partikel berada di udara
g) Tinggi maksimum yang bisa dicapai partikel
Jawaban
a) Posisi awal partikel
![]()
b) Posisi partikel saat t = 1 sekon
![]()
c) Kecepatan awal partikel

d) Percepatan partikel. Turunkan persamaan kecepatan untuk mendapatkan persamaan percepatan:
![]()
e) Waktu yang diperlukan partikel untuk mencapai titik tertinggi
Saat mencapai titik tertinggi kecepatan partikel adalah NOL.

f) Lama partikel berada di udara
Partikel berada diudara selama dua kali waktu untuk mencapai titik tertinggi yaitu 4 sekon.
g) Tinggi maksimum yang bisa dicapai partikel
Tinggi maksimum tercapai saat 2 sekon, masukkan ke persamaan posisi.
![]()
Soal No. 2). Persamaan posisi sudut suatu benda yang bergerak melingkar dinyatakan sebagai berikut:
![]()
Tentukan:
a) Posisi awal
b) Posisi saat t=2 sekon
c) Kecepatan sudut rata-rata dari t = 1 sekon hingga t = 2 sekon
d) Kecepatan sudut awal
e) Kecepatan sudut saat t = 1 sekon
f) Waktu saat partikel berhenti bergerak
g) Percepatan sudut rata-rata antara t = 1 sekon hingga t = 2 sekon
h) Percepatan sudut awal
i) Percepatan sudut saat t = 1 sekon
Jawaban
a) Posisi awal adalah posisi saat t = 0 sekon, masukkan ke persamaan posisi
![]()
b) Posisi saat t = 2 sekon
![]()
c) Kecepatan sudut rata-rata dari t = 1 sekon hingga t = 2 sekon

d) Kecepatan sudut awal
Kecepatan sudut awal masukkan t = 0 sekon pada persamaan kecepatan sudut. Karena belum diketahui turunkan persamaan posisi sudut untuk mendapatkan persamaan kecepatan sudut.

e) Kecepatan sudut saat t = 1 sekon
![]()
f) Waktu saat partikel berhenti bergerak
Berhenti berarti kecepatan sudutnya NOL.

g) Percepatan sudut rata-rata antara t = 1 sekon hingga t = 2 sekon

Turunkan persamaan kecepatan sudut untuk mendapatkan persamaan percepatan sudut.

i) Percepatan sudut saat t = 1 sekon
![]()
Soal No. 3). Grafik kecepatan (v) terhadap waktu (t) berikut ini menginformasikan gerak suatu benda.

Jawaban
Kecepatan rata-rata adalah perpindahan dibagi dengan selang waktu. Jika disediakan grafik v terhadap t seperti soal diatas, perpindahan bisa dicari dengan mencari luas di bawah kurva dengan memberi tanda positif jika diatas sumbu t dan tanda negatif untuk dibawah sumbu t. Luas = perpindahan = Luas segitiga + luas trapesium

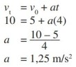
Soal No. 4). Mobil yang semula bergerak lurus dengan kecepatan 5 m/s berubah menjadi 10 m/s dalam waktu 6 s. Jika mobil itu mengalami percepatan tetap, berapakah jarak yang ditempuh dalam selang waktu 4 s itu?
Jawaban
Dari soal tersebut diperoleh
v0 = 5 m/s
vt = 10 m/s
t = 4 s
Untuk menentukan jarak kita harus mengetahui besar percepatan a. Oleh karena itu, terlebih dahulu kita cari percepatan mobil dengan menggunakan persamaan
Setelah kita mendapatkan nilai percepatan a maka jarak yang ditempuh mobil dalam
waktu 4 s adalah

Soal No. 5). Sebuah mobil yang melaju dengan kecepatan 72 km/jam mengalami pengereman sehingga mengalami perlambatan 2 m/s2. Tentukan jarak yang ditempuh mobil sejak pengereman sampai berhenti.
Jawaban
v0 = 72 km/jam = 20 m/s
a = –2 m/s2
Karena mobil berhenti maka vt = 0. Dengan demikian, waktu yang diperlukan adalah
vt = v0 + at
0 = 20 + (–2)t
t = 10 s
Karena waktu yang diperlukan sampai berhenti 10 s maka jarak yang ditempuh selama pengereman adalah

