Hai kawan-kawan, di bawah ini adalah 10 Contoh Soal Essay Fisika (Termodinamika) dan Jawabannya. Semoga 10 Contoh Soal Essay Fisika (Termodinamika) dan Jawabannya ini bermanfaat banyak.
Soal No. 1).

Suatu gas ideal mengalami proses siklus seperti pada gambar P − V di atas. Kerja yang dihasilkan pada proses siklus ini adalah….kilojoule.
Jawaban
W = Usaha (kerja) = Luas kurva siklus = Luas bidang abcda
W = ab x bc
W = 2 x (2 x 105) = 400 kilojoule.
Soal No. 2). 1,5 m3 gas helium yang bersuhu 27oC dipanaskan secara isobarik sampai 87oC. Jika tekanan gas helium 2 x 105 N/m2 , gas helium melakukan usaha luar sebesar….
Jawaban
Data :
V1 = 1,5 m3
T1 = 27oC = 300 K
T2 = 87oC = 360 K
P = 2 x 105 N/m2
W = PΔV
Mencari V2 :
V2/T2 = V1/T1
V2 = ( V1/T1 ) x T2 = ( 1,5/300 ) x 360 = 1,8 m3
W = PΔV = 2 x 105(1,8 − 1,5) = 0,6 x 105 = 60 x 103 = 60 kJ
Soal No. 3). Mesin Carnot bekerja pada suhu tinggi 600 K, untuk menghasilkan kerja mekanik. Jika mesin menyerap kalor 600 J dengan suhu rendah 400 K, maka usaha yang dihasilkan adalah….
Jawaban
η = ( 1 − Tr / Tt ) x 100 %
Hilangkan saja 100% untuk memudahkan perhitungan :
η = ( 1 − 400/600) = 1/3
η = ( W / Q1 )
1/3 = W/600
W = 200 J
Soal No. 4). Suatu mesin Carnot, jika reservoir panasnya bersuhu 400 K akan mempunyai efisiensi 40%. Jika reservoir panasnya bersuhu 640 K, efisiensinya…..%
Jawaban
Data pertama:
η = 40% = 4 / 10
Tt = 400 K
Cari terlebih dahulu suhu rendahnya (Tr) hilangkan 100 % untuk mempermudah perhitungan:
η = 1 − (Tr/Tt)
4 / 10 = 1 − (Tr/400)
(Tr/400) = 6 / 10
Tr = 240 K
Data kedua :
Tt = 640 K
Tr = 240 K (dari hasil perhitungan pertama)
η = ( 1 − Tr/Tt) x 100%
η = ( 1 − 240/640) x 100%
η = ( 5 / 8 ) x 100% = 62,5%
Soal No. 5). Diagram P−V dari gas helium yang mengalami proses termodinamika ditunjukkan seperti gambar berikut!

Usaha yang dilakukan gas helium pada proses ABC sebesar….
Jawaban
WAC = WAB + WBC
WAC = 0 + (2 x 105)(3,5 − 1,5) = 4 x 105 = 400 kJ
Soal No. 6). 2000/693 mol gas helium pada suhu tetap 27oC mengalami perubahan volume dari 2,5 liter menjadi 5 liter. Jika R = 8,314 J/mol K dan ln 2 = 0,693 tentukan usaha yang dilakukan gas helium!
Jawaban
Data :
n = 2000/693 mol
V2 = 5 L
V1 = 2,5 L
T = 27oC = 300 K
Usaha yang dilakukan gas :
W = nRT ln (V2 / V1)
W = (2000/693 mol) ( 8,314 J/mol K)(300 K) ln ( 5 L / 2,5 L )
W = (2000/693) (8,314) (300) (0,693) = 4988,4 joule
Soal No. 7). Suatu gas memiliki volume awal 2,0 m3 dipanaskan dengan kondisi isobaris hingga volume akhirnya menjadi 4,5 m3. Jika tekanan gas adalah 2 atm, tentukan usaha luar gas tersebut!
(1 atm = 1,01 x 105 Pa)
Jawaban
Data :
V2 = 4,5 m3
V1 = 2,0 m3
P = 2 atm = 2,02 x 105 Pa
Isobaris → Tekanan Tetap
W = P (ΔV)
W = P(V2 − V1)
W = 2,02 x 105 (4,5 − 2,0) = 5,05 x 105 joule
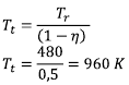
Soal No. 8). Sebuah mesin Carnot yang menggunakan reservoir suhu tinggi bersuhu 800 K mempunyai efisiensi sebesar 40%. Agar efisiensinya naik menjadi 50%, maka suhu reservoir suhu tinggi dinaikkan menjadi….(UMPTN 90)
A. 900 K
B. 960 K
C. 1000 K
D. 1180 K
E. 1600 K
Pembahasan
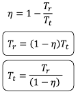
Rumus efisiensi (tanpa %)

Data dari Efisiensi pertama,
Tt = 800 K
η = 40% = 0,4 → (1 − η) = 0,6
Dari sini diperoleh suhu rendah Tr

Dari data efisiensi kedua,
η = 50% = 0,5 → (1 − η) = 0,5
Tr = 480 K
Suhu tingginya:

Soal No. 9). Perhatikan gambar berikut ini!

Jika kalor yang diserap reservoir suhu tinggi adalah 1200 joule, tentukan :
a) Efisiensi mesin Carnot
b) Usaha mesin Carnot
c) Perbandingan kalor yang dibuang di suhu rendah dengan usaha yang dilakukan mesin Carnot
d) Jenis proses ab, bc, cd dan da
Pembahasan
a) Efisiensi mesin Carnot
Data :
Tt = 227oC = 500 K
Tr = 27oC = 300 K
η = ( 1 − Tr/Tt) x 100%
η = ( 1 − 300/500) x 100% = 40%
b) Usaha mesin Carnot
η = W/Q1
4/10 = W/1200
W = 480 joule
c) Perbandingan kalor yang dibuang di suhu rendah dengan usaha yang dilakukan mesin Carnot
Q2 = Q1 − W = 1200 − 480 = 720 joule
Q2 : W = 720 : 480 = 9 : 6 = 3 : 2
d) Jenis proses ab, bc, cd dan da
ab → pemuaian isotermis (volume gas bertambah, suhu gas tetap)
bc → pemuaian adiabatis (volume gas bertambah, suhu gas turun)
cd → pemampatan isotermal (volume gas berkurang, suhu gas tetap)
da → pemampatan adiabatis (volume gas berkurang, suhu gas naik)
Soal No. 10). Sebuah mesin pendingin memiliki reservoir suhu rendah sebesar −15°C. Jika selisih suhu antara reservoir suhu tinggi dan suhu rendahnya sebesar 40°C, tentukan koefisien performansi mesin tersebut!
Jawaban
Data mesin
Tr = − 15°C = (− 15 + 273) K = 258 K
Tt − Tr = 40°C
Cp =….

Soal No. 11). Sebuah kulkas memiliki suhu rendah − 13°C dan suhu tinggi 27°C. Jika kalor yang dipindahkan dari reservoir suhu rendah adalah 1300 joule, tentukan usaha yang diperlukan kulkas!
Jawaban
Data mesin pendingin
Tr = − 13°C = (− 13 + 273) K = 260 K
Tt = 27°C = 300 K
Qr = 1300 j
W = ….
Rumus koefisien performansi jika diketahui usaha dan kalor

Dimana
W = usaha yang diperlukan untuk memindahkan kalor dari suhu rendah
Qr = kalor yang dipindahkan dari suhu rendah
Sehingga jika digabung dengan rumus dari no sebelumnya diperoleh:
